FAP Haitian Creole Financial Assistance Program Policy | Page 5

a. Detèminasyon kalifikasyon pou FAP ak ajisteman byenfezans ki dwe aplike on fwa yo apwouve baze sou Nivo Povrete Federal( Federal Poverty Level, FPL) garan an, jan Depatman Sante ak Sèvis Sosyal defini li. b. Si gen yon kopeman FAP ki dwe, garan yo oblije peye valè kopeman afekte a ki endike nan Tablo Kopeman nan Atik 7. a. i politik sa a. c. Sejou pasyan entène ki kalifye pou FAP ap vin anvigè pou FAP apati dat admisyon an jiska dat egzeyat la eksepte pou pati nan sejou a ki ka kouvri nan asirans. d. Yo voye notifikasyon apwobasyon oswa refi bay garan an. a. Si yo refize aplikasyon pou FAP an, Espesyalis Èd Finansye a ap kontakte garan an avèk enfòmasyon konsènan opsyon aranjman pou peman. e. Pasyan ki detèmine kòm kalifye pou èd finansye avèk vizit pandan 6 mwa annapre yo, epi ki endike sikonstans finansye yo pa te chanje, ka resevwa èd finansye pou yon admisyon ankou san pwosesis evalyasyon finansye konplè a. a. Si garan an gen yon lòt sèvis baze nan lopital nan yon etablisman Renown nan dat apwobasyon yo, garan an dwe enfòme Èd Finansye Renown nan 775-982-5747 pou aplike apwobasyon FAP a pou lòt kont yo. b. Yo dwe enfòme Èd Finansye Pasyan Renown pou nenpòt chanjman ki fèt nan revni oswa nan gwosè fwaye a pandan peryòd apwobasyon 6 mwa * a pou konsève kalifikasyon. c. Si yon pasyan endike sikonstans finansye li yo te chanje, lè sa faktè ki chanje yo dwe evalye pou evalye enpak ki fèt sou detèminasyon kalifikasyon anvan an. Yon aplikasyon konplè ak yon detèminasyon dwe fèt apre sis mwa *. i. * Pou sèvis ki bay nan Women’ s Health – 975 Ryland: Peryòd kalifikasyon an egal ak dire gwosès la( ki gen ladan tranche ak akouchman nan lopital la) f. Yon peman, refi, oswa rezime avantaj ki soti nan nenpòt sous peyè dwe jwenn anvan yo aplike ajisteman FAP finalize a. g. Garan yo refize FAP gendwa kalifye pou yon rabè pou Peman Rapid nan 20 % sou rès balans garan si pasyan an peye rès balans lan annantye nan lespas 30 jou apre notifikasyon desizyon FAP an. h. Benefisyè Medicare ki pa kalifye pou FAP gendwa kalifye pou yon Dèt ki Pa kapab rekipere nan Medicare dapre Politik Renown pou Dèt ki Pa kapab rekipere nan Medicare.
i. Baz pou kalkile montan yo chaje pasyan yo antreprann ak dokiman klinik baze sou sèvis swen sante ki bay yo. Baze sou dokimantasyon sa a, frè yo aplike otomatikman, oswa estaf ki anchaje revizyon dosye klinik yo aplike yo. Nan pifò ka, espesyalis kodaj Jesyon Enfòmasyon Sante yo egzamine kont lan tou pou fè kodaj. On fwa tout frè yo te kapte, valide, epi yo te pwodui yon reklamasyon avèk balans final ki dwe pou kont lan, lè sa aplikasyon pou Èd Finansye a ka finalize.
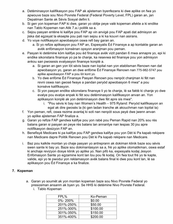
7. Kopeman
a. Garan yo soumèt ak yon montan kopeman baze sou Nivo Povrete Federal yo presizeman ansanm ak byen yo. Se HHS ki detèmine Nivo Povrete Federal. i. Tablo Kopeman
FPL %
Ko-Peman
0 %- 200 %
$ 0.00
201 %-250%
$ 50.00
251 %-300%
$ 100.00
301 %-350%
$ 150.00
351 %-400%
$ 200.00