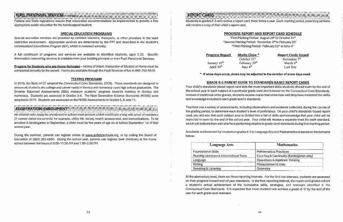
Elementary Handbook 2025-2026 | Page 56
Elementary Handbook 2025-2026 | Page 55
Elementary Handbook 2025-2026 | Page 57